반응형
감마붕괴(프:désintégration gamma, 영: gamma decay)
L'introduction et le résumé
고에너지 전자기 복사형태. 핵이 α입자 ou β입자를 방출할 때, 들뜬상태에 있게 되는데, 낮은상태로 떨어지게되면서 원자핵은 여분의 에너지를 감마선으로 방출하면서 바닥상태로 전이하게 됨. γ선은 α, β붕괴와 달리 딸핵의 원자번호나 질량수는 변하지 않음.
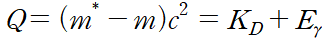
감마붕괴에서 방출되는 에너지는 다음과 같이 딸핵과 광자가 나누어 가진다.

I, 감마선 방출 과정 3가지
| 설명 | |
| 광전효과 | 감마선이 궤도전자와의 상호작용을 통해 전달된 에너지로 전자를 원자로부터 분리시켜버리는 현상 |
| 컴프턴 산란 | 감마선이 궤도 전자를 방출시키면서, 앞과정에서 쓰고 남는 에너지는 낮은 에너지를 지니는 감마선을 방출 |
| 쌍생성 | 방사선이 1.022MeV보다 클때만 일어남 |
II, 내부전환 (CI, la conversion interne)
들뜬 상태의 핵이 낮은상태로 전이할 수 있는 감마선 방출의 한가지 변형 형태라고 할 수 있다. 이로 인해, 오제효과가 나타남

원자핵의 에너지준위차이 값이 내부전환전자의 결합에너지보다 클 때, 동등한 운동에너지 값을 가진 전자가 방출됨.
| 주제 | 설명 | Z, A변화 | |
| 내부전환 | 전자방출(운동에너지 동일) | 원자핵의 에너지준위차이 값이 내부전환전자의 결합에너지보다 클 때 | 변화없음 |
| 내부전환의 확률적인 발발형태 | 확률적(내부전환계수 사용) | 내부전환에 따라 반드시 특정X선이나 오제전자를 방출하는 형태가 아님. |
III, 핵 이성체 전이(TI, transition isomérique nucléaire)
원자핵이 들뜬 상태에 있는 원자에서 발생하는 방사성 감쇠 과정.
원자핵의 남는에너지는 감마선을 방출하며, 원자핵을 바닥 상태로 만드는데, 핵종에 따라서 에너지 특성이 다르기 때문에, 이 같이 바로 전이하지 않는 핵종을 지칭함.
반응형
'RI 이론 > 방사선' 카테고리의 다른 글
| 8. 방사선 - 중성자 (0) | 2024.05.16 |
|---|---|
| 6. 베타붕괴 (0) | 2024.05.15 |
| 5. 알파붕괴 (0) | 2024.05.13 |
| 4. 다양한 방사선 - 전지가파발생/제동복사 (0) | 2024.05.09 |
| 3. 방사선 - X선 기작 (0) | 2024.05.07 |