반응형
베타붕괴(프:désintégration beta, 영: beta decay)
L'introduction et le résumé
원자핵에서 중성자가 양성자로 변환되어 고속 전자(베타선)와 반물질인 반 중성미자가 방출되는 붕괴형식. 약력(프: L'interaction faible, 영:weak interaction)이 주로 관여함.
| 반응식 | Z값 변화 | A값 변화 | 방출선 | |
| +1 | 변화없음 | |||
| -1 | ||||
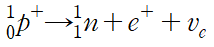
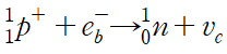
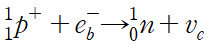
| CE (La capture électronique) | ![]() |
-1 |

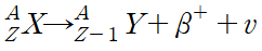
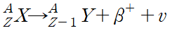
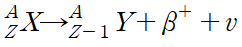
1-1. 일반형태 붕괴식
1-2. 전자포획(La capture électronique)
원자의 원자핵 내부에 많은 양성자가 존재하나, 양전자를 방출하기(베타"+"붕괴)에 에너지가 충분하지 못할 경우에 발생하는 현상. 부모핵과 딸핵의 에너지 차이가 1,022 MeV(전자쌍의 정지질량에너지)에 미치지 못할 경우, 양전자방출은 불가능해지며 전자포획 방식이 유일한 붕괴 방법이 됨. 중성미자만 방출되고, 양전자와 음전자는 방출되지 않으므로, 궤도전자의 포획이 일어났는지는 확인하기 어려움.

편하게 생각해서, 원자를 구성하는 전자를 핵이 "잡아먹으면서" 중성미자를 방출하는 현상임. 양성자가 중성자로 변하고, 중성자수는 +1만큼 증가, 양성자수는 -1만큼 감소. 전체 질량은 유지되며, 양성자수가 변함으로써 전자포획은 핵종을 새로운 원소로 바꿈.
1-3. β선 에너지
베타선의 에너지 분포는 연속적(연속 스펙트럼).

Emax인 경우, 중성미자의 에너지가 0.
1-3(1) 음의 β 붕괴에너지


1-3(2) 양의 β 붕괴에너지


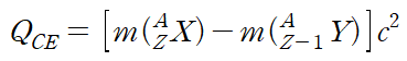
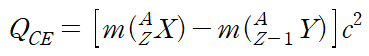
1-3(3) 전자포획 붕괴에너지


(한번더 강조) 앞선차수에 언급했듯이, Q<0일 때 베타붕괴는 일어나지 않음.
반응형
'RI 이론 > 방사선' 카테고리의 다른 글
| 8. 방사선 - 중성자 (0) | 2024.05.16 |
|---|---|
| 7. 감마붕괴 (0) | 2024.05.15 |
| 5. 알파붕괴 (0) | 2024.05.13 |
| 4. 다양한 방사선 - 전지가파발생/제동복사 (0) | 2024.05.09 |
| 3. 방사선 - X선 기작 (0) | 2024.05.07 |











