반응형
(3) 알파선 발생
(3-1)L'introduction
주기율표상에서 원자번호가 커질수록 핵자 상호간 결합력이 떨어지는 성향으로 인해, 알파입자를 방출하면서 안정된 상태를 추구하는 과정이 알파붕괴(프: désintégration α, 영: α-decay). 물론 질량수가 어느정도 되어야 함(Z>74)
일반적인 N=A-Z개인 원자핵의 질량은

위 식으로 표현되는데, 원자핵이 알파붕괴를 한 후 질량수가 4만큼 감소(A-4), 원자번호가 2만큼 감소(Z-2)함을 적용하면,


형태로 나타난다.
(3-2) 알파선의 에너지(Énergie de désintégration α)
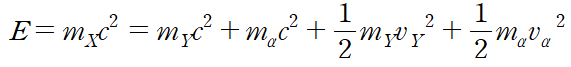
알파붕괴 전후의 질량은 서로 보존되지않고, 붕괴후 질량결손이 난 만큼 알파입자의 운동에너지로 변환됨.
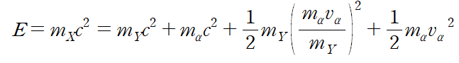
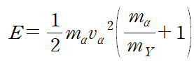
알파붕괴로 생기는 에너지 Q는,

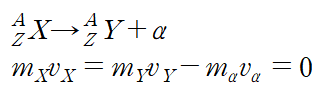
알파입자와 핵은 서로 반대방향으로 운동하므로,






가 됨. 원자번호가 클수록, 핵은 거의 움직이지 않고 Q값 대부분이 알파입자의 에너지로 전환됨
알파붕괴는 Q값이 0보다 커야 할 수 있는 조건이 된다.
반응형
'RI 이론 > 방사선' 카테고리의 다른 글
| 7. 감마붕괴 (0) | 2024.05.15 |
|---|---|
| 6. 베타붕괴 (0) | 2024.05.15 |
| 4. 다양한 방사선 - 전지가파발생/제동복사 (0) | 2024.05.09 |
| 3. 방사선 - X선 기작 (0) | 2024.05.07 |
| 2. 방사선에너지 전자기파/입자 (0) | 2024.05.06 |