5. 원자의 크기
원자의 크기 = 전자 궤도의 크기
전자 궤도의 크기는 주양자수*n으로 결정되고, 원자의 크기는 전자 궤도의 최대반지름으로 결정됨.
* 오직 자연수의 값만을 가질 수 있고, 양자수가 커질 수록 오비탈이 커지고 전자가 높은 포텐셜 에너지를 가지게 되어 핵에 덜 매여있게 된다. 반지름이 작은 안쪽 궤도부터 K(n=1), L(n=2), M(n=3)...으로 정의됨
보어 반지름 이라고 하는데, 이는 존재할 수 있는 가장 작은 궤도 반지름 r = 0,0529 nm = 0,53 x 10^-10n^2(m)임.
각 궤도에 들어갈 전자의 수는 파울리의 배타원리에 따라서 허용전자수는 2n^2개가 됨.
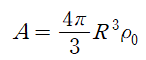
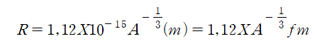
원자핵의 크기는 10^-15m정도
질량수 A와 원자핵의 반지름 R(m)과의 관계식을 정리함에있어 우즈-삭슨 형태로 주어지지 않고, 근사 질량분포를 통해

(핵물질 밀도, ρo=-.17핵자수/fm^3)
R에 대하여 연립해서,

얻게됨. (질량수A는 원자핵의 부피와 비례하므로, 원자핵의 반지름은 질량수의 1/3제곱에 비례함)
원자내부는 원자핵과 전자의 전하들로 생긴 쿨롱force에 의하여 결합되어 있고, 원자에 가장 가까운 궤도shell가 가장 결합력이 강하고, 안정된 상태.
6. 원자의 들뜸과 이온화
전자궤도들의 각각 반지름에 알맞은 에너지준위값이 정해져 있는데, K, L, M...순으로 궤도의 반지름이 커짐에 따라 에너지준위값이 커짐.
외부에서 에너지를 주지 않는 한, 궤도 전자는 각각 정해진 에너지 준위값을 가지며 궤도를 돌고있음. 이 상태를 바닥상태(프-l'état fondamental , 영-ground state)라 함.
만약, 외부에서 에너지를 주어 자극이 되면, 궤도전자의 일부는 준위값이 더 높은 바깥쪽 궤도로 전이됨. 이를 들뜸상태(프- un état excité , 영- excited state) 라 한다. 들뜸상태는 불안정한 상태로, 바깥쪽 전자가 빈자리인 안쪽 궤도로 전이하려는 성질이 있다(불안정→안정). 전이할때 주로 전자기파가 방출되는데 E=hν= h(c/λ) = hc/λ 형태로 에너지가 방출됨.
궤도전자는 원자핵간의 인력과 전자의 원심력이 서로 힘의균형을 이루며 원운동을 하고 있는데, 만약에 궤도전자가 원자핵과의 결합에너지 이상의 에너지를 외부로부터 받게되면, 균형이 깨어지기 때문에 궤도전자는 원자핵의 인력으로부터 벗어나게 되어 자유전자가 됨. 이 현상이 이온화(프- ionisation , 영 - ionization )또는 전리라고 함. 이온화**에 필요한 에너지는 원자,분자의 종류에 따라 다름.
**원소의 전자를 하나 떼어내는 데 필요한 에너지가 이온화에너지(전자의 결합에너지와 같다)

수소원자의 이온화 에너지 수소원자의 경우에는 전자의 에너지 준위가 -13.6 eV 이므로 이온화 에너지, 결합에너지는 13.6 eV가 됨. 공기중에서의 이온화 에너지는 34 eV.
출처 : 방사선 이론과 실제(일반)
'RI 이론 > 원자와원자핵' 카테고리의 다른 글
| X, γ선/광전효과 (0) | 2024.05.28 |
|---|---|
| 5. 원자의 결합에너지/핵력 (0) | 2024.05.02 |
| 4. 원자의 질량과에너지 (0) | 2024.05.01 |
| 3.원자핵구조/마법수/물방울모형 (0) | 2024.04.30 |
| 1.원자와 원자핵 - 원자 (0) | 2024.04.29 |