반응형
3. χ선, γ선
전자기 방사선의 일종.
전자기파 : 빛과 마찬가지로 파동으로서의 성질과 입자로서의 성질 모두 갖춤.

하전입자와의 차이는 전자기방사선은 전하를 가지고 있지 않으므로, 쿨롱포스가 미치지 않음. 이리하여 하전입자와는 상호작용 방식도 다름. 전자기 방사선 상호작용의 대표적인 과정들은 아래에.
3-1. 광전효과( 프 : l'effet photoélectrique , 영 : photoelectric effect )
| 설명 | |
| E가 원자핵/궤도전자의 결합에너지보다 높을 때 | 궤도전자가 원자핵으로부터의 영향 벗어나, 튀어나감 |
| E가 원자핵/궤도전자의 결합에너지보다 낮을 때 | 궤도전자가 원자핵에 계속 묶여있음. 속박상태 |
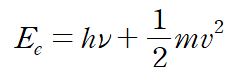
결국 이 현상은 궤도전자를 원자로부터 분리되어지는 현상을 의미함. 이 현상의 결과로, 운동에너지는 원래의 감마선 에너지에서 전자의 결합에너지를 뺀 것과 같음.





광전효과는 전자기방사선보다 낮은 에너지인 자외선이나 가시광선에서도 일어나는 현상.
광전자의 에너지는 아래식처럼.


전자기방사선의 에너지가 이온화에너지보다 낮으면 광전효과는 일어나지 않으나, 들쯤현상은 일어남. 광전효과가 일어나기위한 최소조건으로, 한계진동수(최저진동수보다 높은 진동수를 가진 전자기방사선) 필요.
3-2.하전입자와의 관계
전리현상인 광전효과는 같은 단어이지만 하전입자의 전리현상과는 다른 양상을 띈다.
| 설명 | |
| 하전입자 전리 | 이온화시, 하전입자에너지 일부를 원자/분자에 주면서 에너지를 상실 |
| 광전효과 전리 | 전자기방사선E* = 이온화에너지+광자운동에너지 형태로 바뀌어 흡수 |
*전자기방사선E(광자의 수)가 강할수록 광전효과로 인해 방출되는 광전자의 수가 많아진다.
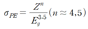
3-3.광전효과 발생확률
발생확률은

표현되며, 좌변은 광전자의 흡수단면적으로서 전체적으로 광전효과는 원자번호가 클수록 확률이 증가하고, 전자기방사선의 에너지가 커짐에 따라 확률이 감소.
| 요인 | 기타 | |
| 광전효과 확률 증가 | 원자번호(Z) 클수록 | |
| 광전효과 확률 감소 | 전자기방사선의 에너지(E)가 커질수록 |
반응형
'RI 이론 > 원자와원자핵' 카테고리의 다른 글
| 5. 원자의 결합에너지/핵력 (0) | 2024.05.02 |
|---|---|
| 4. 원자의 질량과에너지 (0) | 2024.05.01 |
| 3.원자핵구조/마법수/물방울모형 (0) | 2024.04.30 |
| 2. 원자의들뜸/이온화 (0) | 2024.04.30 |
| 1.원자와 원자핵 - 원자 (0) | 2024.04.29 |