<원자핵>
1. 원자핵 구조
1-1 Shell model과 마법수
성질이 비슷한 핵자들이 한정된 좁은 공간에 밀집한 구조를 가지고 있는게 원자핵이다. 그리고 원자와의 에너지준위 상태 또한 다르다
근데 임의의 핵자수일 때, 원자핵이 안정된 상태에 있게 되는 경우가 있다. 이같은 핵구를 shell model이라 하고 각 shell을 형성하는 숫자를 마법수*라고 함(프-nombre magique , 영-magic number). Shell model으로 원자핵의 들뜸상태, 알파붕괴등을 설명할 수있다. 그리고 핵퍼텐셜의 모양을 알면 핵자의 운동에 대한 슈뢰딩거 방정식을 풀어 핵에너지 준위를 정확하게 계산할 수 있다.
* 1940년대에 발견되었으며, 양성자나 중성자의 껍질이 모두 차서 에너지가 특별히 낮은 핵에서의 그 핵자의 수를 가리킴. 실험에 의해 밝혀진 마법수는 7개(2, 8, 20, 28, 50, 82, 126)로 알려져 있음. 양성자와 중성자의 수가 모두 마법수인 경우 이중 마법이라고도 함(헬륨, 산소, 칼슘등등)
1-2 물방울 모형
말은 물방울이지만 핵자와는 다르지만 비유상으로 비슷한 점(물방울은 서로 붙으면 덩어리로 되어서 표면적을 줄이려는 경향 때문에 물방울끼리의 인력은 가까운 거리에서 크게 작용하는 핵력과 비슷하여서)이 있어 이 용어를 택한 것 같다.
핵자들도 뭉치면서 덩어리를 형성할 때 표면적을 줄이려고는 하나, 물방울과는 달리 핵자의 수가 커지면 양성자의 수가 많아지므로 핵자 사이에 전자기적 반발력(척력)이 커짐에 따라 물방울처럼 무한하게 커지는 것을 방해해버림.
이 모델을 통해 핵의 구체 모양**, 결합 에너지를 Formule de Weizsäcker(영semi-empirical mass formula, 반-경험적 질량공식)를 적용하여 예측할 수 있다.

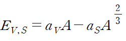
** Z개의 양성자와 N개의 중성자로 된 핵이 구형으로 형성될 때의 결합에너지는 구의 부피에서의 질량수 A=Z+N에 비례하므로 반경은 A^1/3에 비례, 표면적은 A^2/3에 비례함.

첫번째 부피항은 부피에 비례하는 것을 나타내고 인접한 두 핵자사이의 핵력과 관련됨. 2번째 표면항은 표면에 위치한 핵자의 경우 내부방향으로는 상호작용 쌍을 만들 수 있으나, 바깥으로 향하는 방향으로는 상호작용 쌍을 만들 수가 없다. 이 이유로, 부피항에서 과도하게 책정된 결합에너지를 보정하기 위해 부피항에서 계산된 결합에너지 값을 감소시켜야 함.
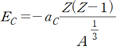
그리고 핵자가 뭉칠 때, 양성자들 사이에 작용하는 전자기적 반발력(척력)으로 인해 결합에너지가 감소하는 효과를 설명하기 위해, 3번째항인 쿨롱항으로 풀면 된다.

Z개의 양성자가 만드는 Z(Z−1)/2개의 쌍이 있고 이들 사이의 평균거리가 A^1/3에 비례(전기 퍼텐셜 에너지는 전하의 곱에 비례하고 거리에 반비례한다).
최종적으로, 물방울 모형으로 핵자의 결합에너지, 핵반응시 복합핵 형성 과정, 핵분열등을 설명할 수 있다.
출처 : 방사선 이론과 실제(일반)
'RI 이론 > 원자와원자핵' 카테고리의 다른 글
| X, γ선/광전효과 (0) | 2024.05.28 |
|---|---|
| 5. 원자의 결합에너지/핵력 (0) | 2024.05.02 |
| 4. 원자의 질량과에너지 (0) | 2024.05.01 |
| 2. 원자의들뜸/이온화 (0) | 2024.04.30 |
| 1.원자와 원자핵 - 원자 (0) | 2024.04.29 |