반응형
I. 핵반응 Une réaction nucléaire
원자핵을 구성하고 있는 양성자와 중성자의 갯수가 변해서 종류가 다른 원자핵으로 변환되는 반응을 핵반응(ou원자핵반응)이라고 함.


핵반응 식을 위의 두 식처럼 표시. a는 입사입자, X는 표적핵, b는 방출입자, Y는 생성핵.
핵반응이 일어날땐 4가지의 보존법칙이 성립하게 되는데, 아래 표에 정리를 해 두겠다.
핵반응시 4가지 보존법칙
| 설명 | |
| 핵자 총 개수 보존(질량) | 핵반응 전, 후의 핵자의 총 개수가 보존되는 것 |
| 전하의 보존 | 핵반응 전, 후의 모든 입자에 대한 총 전하량 합 보존 |
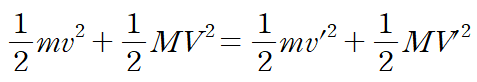
| 운동량/운동에너지의 보존 | 핵반응 전, 후의 충돌입자의 총 운동량/운동에너지(정지질량E포함) |
II. 핵반응 종류
핵반응은 입사입자(a)와 표적핵(X)의 충돌현상이기 때문에, 산란과 흡수 2과정으로 분류 가능.
앞선 게시물에도 언급했듯이 산란은 탄성산란과 비탄성산란으로 나누어지고, 흡수는 포획반응, 입자방출반응, 핵분열, 핵융합등으로 나누어짐.
II-1.산란
| 입사입자(a)와 표적핵(X)와의 충돌과정 | 식 표시 | 이후결과 | |
| 탄성산란 | 운동에너지의 합이 충돌 전, 후에서 보존되고 표적핵(X)의 에너지변화가 없을 시 | X(a, a)X | 운동에너지 보존![]() |
| 비탄성산란 | 입사입자(a)와 운동에너지 일부가 표적핵(X)의 여기에 사용되어 들뜬상태가 되는 현상 | X(a, a')X* [ a>a' ] | 여기된 표적핵(X)가 γ선방출 후 바닥상태로 감 |
II-2. 흡수
| 설명 | |
| 포획반응 | 양성자, 중성자 포획반응 |
| 입자방출반응 | 방출입자(b)에 해당 |
| 핵분열/핵융합 | 핵분열 : U238의 중성자 흡수 핵융합 : 철보다 무거운 원자핵융합반응시 주변에너지 흡수 |
III. 핵반응 단면적
입자가 표적에 충돌할 때, 표적이 입사입자와 충돌로 인한 변화 확률을 나타내는 양으로, 단위시간당 단위면적에 일어난 변화로 나타냄.

R은 반응 수 , σ는 비례상수이자 반응단면적, N(I)는 단위면적당 입사입자 갯수, N(t)는 입자 갯수.
그리고 단면적은 1초동안 1개의 입자를 타겟에 쐈을 때, 타겟이 1초동안 일으키는 변환 확률을 뜻함. 확률은, 한개의 중성자가 핵과 반응하는 확률을 나타내는 핵의 유효표면적을 뜻함.
정리하자면,
| 설명 | 식 또는 결과 | |
| 산란 반응 단면적 (탄성, 비탄성) |
입사입자(a)와 원자핵 사이에어 일어나는 반응의 확률을 뜻함. | 탄성산란 단면적 |
| 비탄성산란 단면적 |
||
| 중성자 흡수 단면적 (포획, 핵분열, 핵융합) |
전하를 가지지않는 중성자의 자유로운 상호작용중 하나로(쿨롱포스의 영향을 받지 않으므로 표적핵X에 접근하기가 매우 용이), 핵에 흡수되는 흡수반응에 대한 단면적을 뜻함 | 포획 단면적 |
| 핵분열 단면적 |
||
| 총 반응 단면적 |
모든 단면적 총합 | ![]() |
반응형
'RI 이론' 카테고리의 다른 글
| 방사평형 (2)영속평형 (0) | 2024.06.27 |
|---|---|
| 방사평형 (1)일시평형 (0) | 2024.06.27 |
| 천연방사성 핵종 (0) | 2024.06.26 |
| 핵반응(2) (0) | 2024.06.25 |
| 방사선 감쇠(1) (0) | 2024.06.13 |








