반응형
I. 방사평형(Radioactive equilibrium)
정의 : 방사성 핵종이 연속적으로 붕괴하고 있을 시, 어미핵종(A) 반감기가 딸핵종(B)의 반감기보다 길때, 일정시간 경과 후 방사능과 원자수의 비가 일정해지는 현상이다. 더욱 간단하게 정리하면 '복사 에너지가 들어오는 양과 나가는 양의 크기가 같아 평형을 이루고 있는 상태'라고 할 수 있다.



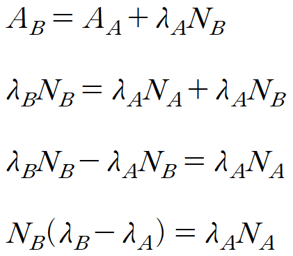
위 식은 방사평형 일 때 붕괴식으로서 마지막항은 t=0일때, N^0B개 있던 A의 딸핵종 B의 감쇠를 의미하며, 0에 근사하므로 항을 없애도 된다. λA, λB크기에 따라 일시평형과 영속평형이 나타나는 것이 특징이다.

I-1. 일시(과도)평형(Transient equilibrium)
정의 : 일정 시간이 경과하면서 어미핵종과 딸핵종의 원자수 비율 ou 방사능의 비율이 일정한 값이 되는 현상으로 어미핵종의 반감기가 딸핵종 반감기의 7~10배인 경우에 일어난다는 것이 특징이다.

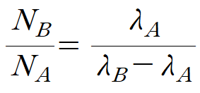
딸핵종의 방사능은 어미핵종보다 λ₁/ λ₂- λ₁배의 차이가 나며, 어미핵종의 반감기에따라 변화(어미핵종과 딸핵종 서로 일정한 원자수의 비율을 유지하면서)가 일어난다.



위의 결과를 토대로 일시평형은 아래와 같이 정리된다.

반응형