반응형
정의 - 방사선의 강도가 약해지는 정도로서, 불안정한 원자핵이 자발적으로 입자, 선 방출을 통해서 안정화가 되는 과정.
감쇠도
| 설명 | 강도변화 | 형태 | |
| 거리에 의한 감쇠 | 방사선의 세기는 거리의 제곱에 반비례하여 감쇠 | 단위면적, 단위시간당 입사량 | 역제곱 |
| 흡수, 산란에 의한 감쇠 | 광자가 물질속을 투과할 때 흡수, 산란으로 인한 지수함수형태의 감쇠 | 감쇠계수, 흡수계수, 산란물질 두께 | 지수함수 |
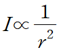
I. 거리에 의한 감쇠
이 형태의 감쇠는 방사선part뿐만아니라 천문학에서도 쓰이는데,
별의 거리가 점점 멀어질수록 빛의 세기가 거리의 역제곱형태만큼 감소하는 것과 일치.
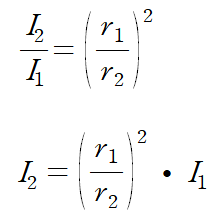
세기는 거리제곱분의 1에 비례(역제곱 형태).

다시 풀면,

형태로 성립.
II. 흡수, 산란에 의한 감쇠
전자기방사선은 물질속에서 흡수, 산란됨.
| 발생확률도 | 설명 | |
| 광전효과 | 저에너지 영역 | 전자기방사선의 에너지가 이온화에너지와 광전자의 운동에너지로 바뀌어 모두 원자에 흡수 |
| 컴프턴 산란 | 중간에너지 영역 | 궤도전자에 전달된 에너지가 산란되어 이온화됨 |
| 전자쌍생성 | 고에너지 영역 | 입사광자 소멸하여 생긴 전자쌍으로 인해, 에너지는 물질속 흡수, 광자는 소멸 |

풀이)
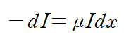
광자는 물질의 두께 x와 x+dx 사이에서 감소.
흡수, 산란으로 선속에서 소멸하는 광자수 dN은 물질속에서 광자수 N이 많을수록, 두께 dx가 두꺼울수록 많아짐


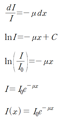
위 식을 적분하면,

로 풀린다. 그래프로 본 결과는,

반응형
'RI 이론' 카테고리의 다른 글
| 방사평형 (2)영속평형 (0) | 2024.06.27 |
|---|---|
| 방사평형 (1)일시평형 (0) | 2024.06.27 |
| 천연방사성 핵종 (0) | 2024.06.26 |
| 핵반응(2) (0) | 2024.06.25 |
| 핵반응 (1) (0) | 2024.06.24 |