반응형
IV. 핵반응 에너지
발열반응과 흡열반응이 나타나는 핵반응에서 발열에너지와 흡열에너지를 Q값이라 하는데, 핵반응전후 질량결손으로부터 구해지는 값.
a+X → b+Y+Q식에 의해서,


| 발열반응일시 | 흡열반응일시 | |
| 질량변화 | Q > 0 | Q < 0 |
※Q값이 0보다 큰 발열반응일시 그대로 핵반응이 진행되며, Q값이 0보다 작은 흡열반응일시, 문턱에너지만큼 외부에서 공급해주어야 반응이 진행됨.
문턱값
입사입자가 하전입자인 경우 원자핵의 쿨롱장벽을 넘기위해 필요한 에너지 값. 핵반응의 종류에 따라 값이 다름.
Q와 문턱값의 관계식

V. 핵분열 & 핵융합
상세한 설명은 하지 않겠음, 핵분열은 무거운 원자핵이 두개의 가벼운 원자로 되는 핵반응이고, 핵융합은 두개이상의 원자가 무거운 원자핵이 되는게 핵융합(서로 반대과정).
V-1. 핵분열 특징
| 설명 | 결과 | |
| 질량수 구간별 집중 분열 | 90~100, 130~140에 집중적으로 핵분열이 발생. | 300여종의 생성핵종 |
| 200MeV | 원자핵1개의 핵분열에서 생성된 에너지. 화학반응으로부터 나오는 에너지와는 차원이 다름. | 핵에너지의 핵심 |
| 고속중성자 | 최초1개의 열중성자로 핵분열을 일으키면서 생긴 2,5개의 중성자를 감속시켜서 물질에 crash해도 핵분열이 일어남 | ![]() |
V-2. 핵융합 특징
| 결과 | |
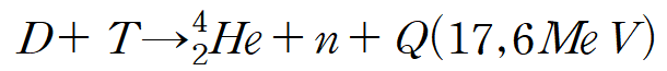
| D-T융합반응* (1세대) |
![]() |
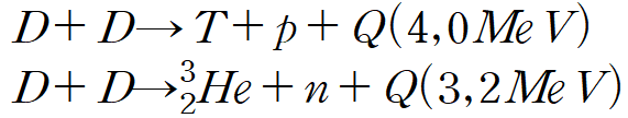
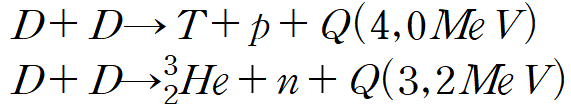
| D-D융합반응 (2세대) |
![]() |
| D-3He융합반응 (3세대) |
![]() |
*D-T융합반응이 가장 일어나기 쉬운 핵융합 반응, D-D융합반응은 해수로부터 무한정으로연료를 취할 수 있음(해수1L당 휘발유 300리터).
V-3. 로슨 조건
핵융합 반응에서 핵융합 최소치 요구 조건. 플라즈마를 고온상태에서 고밀도로 가두어 약 1억K까지 끌어올려져야 핵융합 가능.
| 결과 | |
| 가열조건 | |
| 가둠조건 | ![]() |
| 결과 | |
| D-T핵융합일시 | ![]() |
| 점화조건(외부에너지 공급없이) | ![]() |
반응형
'RI 이론' 카테고리의 다른 글
| 방사평형 (2)영속평형 (0) | 2024.06.27 |
|---|---|
| 방사평형 (1)일시평형 (0) | 2024.06.27 |
| 천연방사성 핵종 (0) | 2024.06.26 |
| 핵반응 (1) (0) | 2024.06.24 |
| 방사선 감쇠(1) (0) | 2024.06.13 |







