방사성 붕괴(프랑스어:La radioactivité, 영어:Radioactive decay)
보통은 자연스럽게는 불안정한 원소가 많은데, 핵종의 수로서 안정성과 불안정성은 양성자수와 중성자수의 비로 결정이 된다. 질량이 작은 가벼운 원자핵에서는 양성자수와 중성자수는 거의 비슷하거나 같지만(주기율표 1번부터 20번까지) 이상으로 원자핵이 무거워지면 보통 중성자수가 양성자수보다 많아지는 경향이 있다. 이는, 질량수가 커지면 (+)전하를 가진 양성자끼리의 반발력이 커짐에 따라 전기적인 척력(Repulsive force)이 발생하며 불안정해지기 때문에, 그 반발력을 약화시키기 위해서 중성자의 수가 많아진다. 보통 양성자수나 중성자수가 많아지면 원자핵은 불안정해지는데, 이를 타파하기 위해 과잉된 양,중성자가 전자를 원자핵 밖으로 방출시키게 되는데, 이 과정을 '베타+'와 '베타-' 붕괴라고 한다. 이러한 불안정한 핵종이 자연적으로 안정한 핵종으로 되는 것을 붕괴(프랑스어:Désintégration, 영어:Decay)라고 하는데, 이러한 붕괴과정에서 원자핵은 반드시 알파선과 베타선을 방출하게 된다.

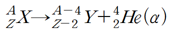
I. 알파붕괴(프랑스어: Désintégration α, 영어: Alpha decay)
방사성 감쇠의 일종으로, 우라늄 이상의 무거운 물질에서 일어나며 알파입자(α)를 방출하고 핵 변환 한다는 특징이 있다. 그리고 원자번호82이상인 핵종에서만 발생하며(예외 핵종은 존재) 알파 입자(α)는 헬륨 핵이고, 전체 원자량 및 원자번호는 보존된다.

위 식에서 방출되는 운동에너지는 Y원소와 α입자가 질량에 반비례한다는 특징이 있다.
II. 베타붕괴(프랑스어:Désintégration β, 영어:Beta decay)
베타붕괴는 알파붕괴와 마찬가지로 방사성 감쇠의 일종으로서, 베타입자가 방출되는 방사성 감쇠현상이라고 보면 된다. 전자가 방출될 경우에는 "β-"이고, 양전자가 방출될 경우에는 "β+"로 표현된다.
II-1. 양(+)의 베타붕괴 'β+'
'양'의 베타붕괴는 양성자가 과잉인 불안정한 원자핵에서 발생하는 현상으로 양성자→중성자 변환되는 과정에서 β+입자와 뉴트리노(ν)를 방출하는 특징이 있다.

| 중성미자 형태 | 스펙트럼 형태 | 원자핵 | 질량수 | |
| β+ | 중성미자 | 연속스펙트럼 | -1 감소 | 불변 |
| β- | 반중성미자 | 연속스펙트럼 | +1 증가 | 불변 |
II-2. 음(-)의 베타붕괴 'β-'
중성자가 과잉인 불안정한 원자핵에서 발생하는 현상으로, 중성자→양성자 변환되는 과정에서 β-입자와 반뉴트리노 방출하는 특징이 있고 양(+)의 베타붕괴와 반대양상을 띤다.

II-3. 전자포획(Electron capture)
전자포획은 주로 양성자가 과잉인 핵종에서 발생되는 현상으로 원자핵에서 양성자수가 중성자수에 비해 많을 경우, 원자핵 외의 궤도전자를 포획하여 안정한 원자핵으로 변환되는 특징이 있다.
| 중성미자 형태 | 스펙트럼 형태 | 원자핵 | 질량수 | |
| β+ | 중성미자 | 연속스펙트럼 | -1 감소 | 불변 |
| β- | 반중성미자 | 연속스펙트럼 | +1 증가 | 불변 |
| 전자포획 | 포획후, 원자핵에서 중성미자 방출 | X선 ou 오제전자 방출 | -1 감소 | 불변 |

III. 감마 붕괴(프랑스어:Désintégration 'γ', 영어:Gamma decay)
감마 붕괴는 감마선 불안정한 원자핵에서 일어나는 형태이고, 알파나 베타붕괴와 달리 전하가 개입되어 있지 않으며 핵에서 오직 하나의 광자가 방출되는 현상이라 얼핏보면 알파붕괴와 비슷해 보일 수 있다.

출처 : 방사선 이론과 실제(일반)
'RI 이론 > 방사능' 카테고리의 다른 글
| 1. 방사능 붕괴법칙 (0) | 2024.05.03 |
|---|