반응형
Série infinie (영어:series infinite)
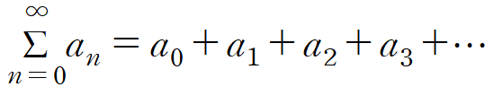
수열의 합.

I. 급수의 종류
| 설명 | 우선 사항 | |
| 유한급수 Série finies | 항의 개수가 유한한 것 | 항 별로 연산 가능한지 점검 |
| 무한급수 Série infinie | 항의 개수가 무한인 것 | 수렴여부부터 우선 점검 |
| 발산급수 Série divergente | 무한수열이 극한을 가지지 않는 급수 | 판정법 점검 이후 시행 (발산,비교,항비,근,적분판정법등) |
| 수렴급수 Série convergente | 항의 합이 어떤 일정한값에 한없이 가까워지는 급수 |
II. 발산과 수렴

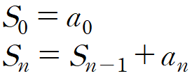
무한급수에서 발산, 수렴을 판정할 때, 부분합 Sn을 이용해서 표현.
무한급수 값은 실수(Nombre réel).
| 설명 | 식 | |
| 발산 | 극한이 존재하지 않음. | |
| 수렴 | 변수가 일정한 값에 한없이 가까워지는 것. |

위 식을 이용해서,


III. 판단법
III-1. 발산 판정 Jugement de divergence

위의 조건에 따라서,



III-2. 비교 판정 Jugement comparaison
급수의 수렴여부를 판정하기위해 변수a와 b를 비교해서 수렴여부를 결정하는 판정법.
정수n에 대해,

III-3. 적분 판정 Jugement intégration
급수의 각 항이 양수일때 사용가능. 이상적분*을 활용하여 판정함.
*적분의 극한을 취한 것으로, 무한한 넓이를 다루는 정적분의 한 형태.


III-4. 항비 판정
자주 사용되는 판정법으로서, 연속한 항의 비에대한 극한을 판정하는 방법.
수렴여부를 판정하기 위해 초항a, 공비r인 급수에서 [a⒩ > 0일때],
| 조건 | 내용 | 판정식 |
| r > 1 | 발산급수 | ![]() |
| r < 1 | 수렴급수 | |
| r = 1 | 급수의 수렴여부 결정 불가 | ![]() |
III-5. 근 판정
실수(Nombre réel)항의 급수 수렴여부를 판정하는 판정법.
| 조건 | 내용 | 판정식 |
| C > 1 | 발산급수 | ![]() |
| C < 1 | 수렴급수 | |
| C = 1 | 발산, 수렴 둘다 가능 |
반응형




