반응형
방사선 에너지
단어 그대로 방사선이 가지고 있는 에너지. 전자기파 방사선이냐 입자방사선이냐에 따라 양상이 다름.
(1)전자기파 방사선 에너지
다른말로는 전리방사선. 고등학교 물리학시간에서부터 나오는 전자기파(감마선~전파)에 해당하는 방사선 에너지에 해당. 고등교육과정에서는, 각 전자기파당 파장에 따라서 구분/분류를 했는데 지금부터는 파장뿐만아니라 파장과 연결되는 진동수, 에너지등의 재료를 가지고 해석을 시도해보고자 함.

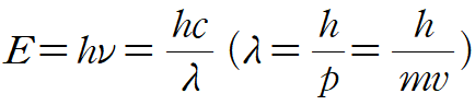
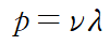
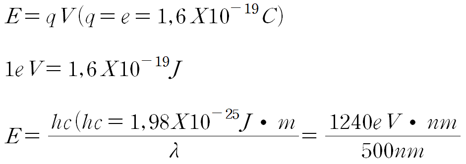
전자기파는 에너지와 운동량을 가지고 있기 때문에(파동인동시에 입자이기도 하기때문) 운동량은,

두 식을 연립하면,

최종적으로,

따라서, 전자기파는 진동수가 높을수록 에너지도, 운동량도 커지는 입자의 흐름이라고 할 수 있음.
(2)입자방사선의 에너지
높은 운동에너지를 가지고 흐르는 물질입자로서, 입자와 투과력에 따라 알파선, 베타선, 중성자선 등으로 나뉨(투과력이 센순서부터, 중성자선>베타선>알파선).

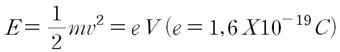
전자를 진공속에서 전위차V로 가속시키면, 얻을 수 있는 에너지 값에 대한 식이다. eV가 운동에너지로 변환되었다고 봐도 됨.
여기서 예시문제! 양성자의 에너지 값을 구해보면,

양성자의 에너지 값은,

이렇게 나온다. 다른 입자들에게도 적용하여 에너지 값을 풀어보기를 추천하며 이만 방사선 에너지 파트 마무리.
출처 : 방사선 이론과 실제(일반)
반응형
'RI 이론 > 방사선' 카테고리의 다른 글
| 6. 베타붕괴 (0) | 2024.05.15 |
|---|---|
| 5. 알파붕괴 (0) | 2024.05.13 |
| 4. 다양한 방사선 - 전지가파발생/제동복사 (0) | 2024.05.09 |
| 3. 방사선 - X선 기작 (0) | 2024.05.07 |
| 1. 방사선 구분/분류 (0) | 2024.05.05 |