반응형
III. 감쇠계수
방사선이 에너지를 잃는 정도를 뜻함(방사선이 가진 에너지가 과녁원소에 전달되는 것).
단어그대로 감쇠의 정도를 나타내는 값.
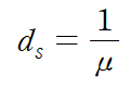
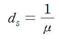
보통 방사선쪽에서 반감기를 많이 쓰는편인데, 방사선의 강도가 절반이되는 물질의 두께를 반감두께(La couche de demi-atténuation, CDA)라 함. 다시말해 방사선이 특정 물질이나 재료를 통과하는 경우 방사선량을 절반으로 줄이는데 필요한 두께를 말함.
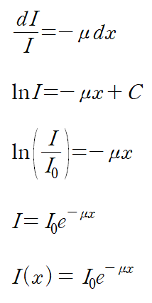
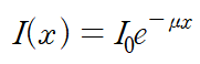
감마선을 포함한 방사선이 물질속에 들어갈수록 여러반응들에 의해 점차 에너지를 잃고 소멸하게 되면서, 에너지가 흡수되는 비율은 물질의 두께dx에 비례, 비어-람베르트 법칙(La loi de Beer-Lambert, 매질의 성질과 감쇠현상에 대한 법칙)을 적용시키면,

이때, 표피깊이(L’effet de peau)를 정의하여,

반감두께(La couche de demi-atténuation)를 정의하면,

선형감쇠계수 μ와 마찬가지로 감쇠정도를 나타내는데 반감두께가 많이 사용됨.
IV. 축적계수 ou 빌드업 계수 (프랑스어:Facteur d'acculation, 영어:Build up factor)
앞서 아래의 식으로 감마선의강도가 감쇠하는정도를 표현했는데, 선형일때만 성립함.

만약, 물질의 두께가 많이 두껍다면?
물질 속에서 산란이 더 많이 일어나게 됨으로서, 균일성이 사라지게 되므로 위 식을 사용할 수 없게 됨.
그래서 위 식을 보정한 식으로, 빌드업 팩터(축적계수, 방사선이 차폐제를 통과할 때, 산란으로인한 변수를 적용해 측정한 위치에서 방사선이 증가하는 비율)를 적용하면,

로 정의됨. 이로서 차폐제 두께를 계산할 수 있음.
V. 예외
| 흡수,산란체의 원자번호가 높은경우 | 감마선의 에너지 2MeV보다 큰 경우 |
| B=1+μx | |
반응형
'RI 이론 > 방사선 상호작용' 카테고리의 다른 글
| 중성자 포획/ 하전입자 방출 (0) | 2024.06.11 |
|---|---|
| 중성자 탄성산란 (0) | 2024.06.10 |
| 전자쌍생성 (0) | 2024.06.07 |
| 컴프턴 산란 (0) | 2024.06.05 |
| 베타선 후방산란/소멸방사 (0) | 2024.05.23 |