반응형
4. 컴프턴 산란(프 : Diffusion compton, 영 : Compton scattering)
전자기 방사선(X선, 감마선)의 파장을 가진 광자가 전자와 상호작용하는 탄성 산란 과정


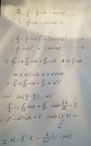
에너지보존 형태


운동량 보존 이용,



위의 식들을 연립하여,

| 형태 | 톰슨산란 형태 | |
| 관측 | 일반적인 전자기파에서 관측 | |
![]() |
||
| 산란각에 의한 에너지 | ![]() |
![]() |
되튐전자


되튐전자 에너지는 hv에 비례.
![]() |
![]() |
|
| 되튐전자 에너지 |

반응형
'RI 이론 > 방사선 상호작용' 카테고리의 다른 글
| 중성자 탄성산란 (0) | 2024.06.10 |
|---|---|
| 전자쌍생성 (0) | 2024.06.07 |
| 베타선 후방산란/소멸방사 (0) | 2024.05.23 |
| 방사선 상호작용 전자(선/탄성산란/전리손실/방사손실) (0) | 2024.05.20 |
| 방사선 상호작용 탄성,비탄성산란/브래그곡선/저지능/비정 (0) | 2024.05.19 |










