반응형
I. 중성자 포획
| 조건 | 표기 | 원자 | |
| 중성자 포획반응 | 저속 중성자(1keV이하) | (n, γ) '포획 감마선' | 질량수 +1만큼 증가(동위원소화) |
중성자가 원자핵에 포획흡수되어 γ선을 방출하는 핵반응(n, γ)을 말한다 중성자를 포획한 원자는 질량수가 1만큼 증가하며, 원자번호는 변하지 않는다. 중성자포획에 의해 일반으로 원자핵은 방사성을 갖는다.
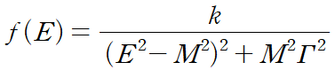
공명포획
특정 원자핵이 특정한 에너지값을 가지는 중성자에 대해 특별하게 높은 포획단면적 σ를 가지는 현상. 고유값을 가짐.
'La distribution relativiste de Breit-Wigner' 이용
코시분포형태를 띰.



중성자의 에너지
열중성자의 에너지보다 큼.
마지막엔 음의베타붕괴 형태로 붕괴됨.

II. 하전입자 방출
정의 - 고에너지 중성자가 원자핵에 충돌하게 되면서 만들어지게되는 복합핵(들뜬상태)이 하전입자(알파입자등)을 방출하여 다른 원소로 변환되는 반응.
| 중성자에너지 높을 때 | 중성자에너지 낮을 때 | 예외 | ||
| 하전입자 방출 | 원자, 분자 전리ou여기 | 하전입자의 운동에너지 형태로 방출 | 안일어남. 최저치이상이 되어야함(수MeV) |
반응형
